Reglamento
Artículo 1 - Datos generales
- Aviru Trail®, es organizado por el Club Aviru Trail. Es una carrera “non-stop” de Trekking que recorre por tramos fuera de ruta, donde se sorteará todo tipo de obstáculos naturales tales como: sectores con piedras, terrenos desparejos, cortes, zanjas, grietas, por caminos asfaltados, ripio, arroyos, senderos entre cerros, subidas y bajadas muy empinadas, senderos agrestes, etc. en la modalidad individual.
- Día, hora y lugar de salida y llegada.
La próxima fecha se realizará el día domingo 15 de marzo de 2026, el lugar de salida será el Jardín Botánico, en la ciudad de Asunción. Los horarios de largada se establecen de acuerdo al siguiente criterio:- A las 08:00 hs salida de homenaje a voluntarios del Club Aviru Trail.
- A las 08:15 hs para el resto de los participantes.
- El 80% de los participantes podría finalizar el recorrido completo en 45 minutos.
- Tolerancia máxima de salida para cada distancia: 15 minutos. No se garantiza la seguridad del corredor luego del tiempo establecido, el atleta quedará automáticamente fuera de competencia (DNS) sin tener derecho a reembolso alguno.
Artículo 2 – Consideraciones generales
- La Organización contará con un equipo de Dirección que controlará el cumplimiento del presente reglamento por parte de los competidores y decidirá sobre cualquier tema inherente a la prueba. Cualquier duda del participante sobre temas técnicos del circuito, competencia, clasificaciones etc., deberá ser remitida al equipo de Dirección o enviando un mail a info@avirutrail.com.
- La Organización podrá suspender y/o diferir el evento por cuestiones de seguridad pública, actos públicos, vandalismo, climatológicas y/o razones de fuerza mayor.
- Condiciones meteorológicas anormales y otros imprevistos pueden obligar a la Organización a rediseñar el recorrido por motivos de seguridad. Si esto sucediera el nuevo recorrido será comunicado oportunamente. En caso de modificaciones de último momento, el recorrido será comunicado durante la charla técnica a realizarse antes de la prueba. Incluso durante el recorrido de la competencia podrá modificarse el trazado por motivos de seguridad, los cambios estarán perfectamente señalizados.
- Salvo que la Organización postergue o suspenda el evento, no se reembolsará el importe de la inscripción a los participantes que decidan no participar una vez inscriptos, cualquiera sea el motivo. Si el atleta decide no participar una vez inscripto por cualquier motivo, pero es de su interés participar en la siguiente fecha, se acreditará el 50% del monto abonado para la siguiente fecha, para ello, deberá comunicarse con la organización ANTES del inicio del evento vía correo electrónico a info@avirutrail.com. No obstante, si se trata de la última fecha del campeonato, el monto no podrá ser acreditado para la siguiente temporada.
- La participación en la carrera implica su responsabilidad por los datos suministrados en la ficha de inscripción, su aceptación plena del reglamento, términos y condiciones del evento, y el pago de la inscripción.
- Pérdida/olvido del dorsal de carrera posee un costo de ₲ 70.000.
- La edad mínima para participar en Aviru Trail® es de 12 años cumplidos al día del evento.
- La Organización se reserva el derecho de admisión.
- Permitido el traspaso del registro hasta 48 hs. antes del evento.
- Quien adultere de cualquier forma su número de participante, será excluido de la prueba.
- La Organización controlará los tiempos de cada corredor, mediante el uso de chips o sistema manual. Es obligatorio pasar por la alfombra de control en la Largada, Puestos de Control y Asistencia y en la Llegada para figurar en la clasificación.
- No está permitido tener asistentes dentro de los Puestos de Asistencia. La Organización pondrá personal a disposición.
- Conservar este paisaje es tarea de todos. Por este motivo está prohibido dejar residuos en el circuito durante la carrera. Los mismos deberán ser transportados hasta los Puestos de Asistencia o la Meta. Habrá contenedores de residuos dentro de los Puestos de Asistencia y a 100mts de la salida al sendero. Será causal de descalificación del corredor que, en forma evidente y debidamente acreditado por la Organización, sea visto arrojando basura fuera de los lugares habilitados a tal efecto. La resolución será inapelable.
Artículo 3 - Inscripciones
- Las inscripciones están sujetas a disponibilidad de cupos y se harán por Internet en www.avirutrail.com.
- Los pasos para inscribirse, los valores de inscripción, vencimientos y la forma de pago se detallan en www.avirutrail.com.
- El pago de la inscripción NO es reintegrable en caso de la no participación del corredor, cualquiera sea el motivo del atleta.
- No se realizarán inscripciones el día anterior a la carrera, ni el día de la competencia.
Artículo 4 – Entrega del kit de carrera
- La entrega de los mismos se realizará en la tienda Outdoors del Shopping Mariscal López, Local 270 y 271 - 2° Piso Bloque B, situado sobre la Quesada 5050 - Asunción, jueves 12, viernes 13 de marzo de 11:00 hs a 20:00 hs. El sábado 14 de marzo de 14:00 a 19:00 en zona de carrera,
- Los competidores al momento de acreditarse para retirar su número y kit de corredor deberán presentar obligatoriamente:
- Documento de identidad original o pasaporte
- Constancia de pago de inscripción.
- Si el competidor no puede retirar personalmente su kit, puede otorgar autorización a alguien de su confianza para hacerlo. En este caso, el autorizado deberá traer completados y firmados por el corredor estos dos documentos:
- Los términos de responsabilidad.
- Autorización de retiro de kits.
- Es necesario que se adjunte una fotocopia de la cédula de identidad tanto del autorizado como del autorizante junto con los documentos mencionados.
- Como alternativa al inciso c de este artículo, el autorizante puede simplemente ir a su Espacio de Corredor y, en el apartado "Autorizaciones" colocar los datos de la persona que va a retirar el kit.
- Los participantes que por algún motivo no pueden retirar el kit de carrera en el lugar y horario establecido por la organización (ni pueden solicitar a un tercero) y desean que se envíe el mismo al lugar de largada en el día del evento, deberán abonar ₲. 50.000. Para que esto pueda ser efectivo, el atleta deberá enviar la solicitud y comprobante de pago correspondiente a info@avirutrail.com como mínimo 3 días antes del evento para que el equipo de acreditación pueda preparar su kit de carrera. El atleta deberá estar presente en el lugar de largada como mínimo 60 min antes de su horario de largada. Para el día del evento, no se entregará ningún kit al atleta que no lo haya solicitado expresamente de acuerdo a las instrucciones de este apartado.
Artículo 5 – Campeonato de Teams
- El Team que desee participar deberá contar con un mínimo de 10 (diez) integrantes confirmados.
- Los atletas son libres de elegir al team o club al cual pertenecer, y podrá cambiarse a otro team o club si lo desea en cada fecha del campeonato.
- El atleta no podrá cambiar su team o club 72 horas antes del evento.
- El campeonato consta de dos grupos principales:
- Líder en Participación: Es el team o club más numeroso. Los puntajes se asignan de acuerdo al siguiente criterio:
- 1 punto por cada atleta finisher en 6k.
- 1,5 puntos por cada atleta finisher en 12k.
- 2 puntos por cada atleta finisher en 24k.
- 3 puntos por cada atleta finisher en 50k.
- 4 puntos por cada atleta finisher en 85k. - Team Elite: Para cada fecha del campeonato, el team o club selecciona a sus cuatro mejores representantes por cada distancia y género, estos atletas pueden ser diferentes en cada fecha. Los atletas suman puntos de acuerdo a la clasificación general establecido en el Artículo 10. De los cuatro atletas, puntúan los tres mejores, el cuarto atleta es el backup en caso de que alguno de los tres anteriores no finalice la prueba o no se presente en línea de largada. Para puntuar, es obligatorio que un mínimo de tres integrantes finalice la prueba.
- Requisito obligatorio para Team Elite
- El equipo de Team Elite debe poseer un reloj deportivo (o celular) con GPS y éste debe registrar el 100% del trazado realizado por el atleta.
- El dispositivo debe estar configurado para registrar la posición del atleta cada 1 segundo, o como máximo, cada 5 metros.
- Los ganadores en Team Elite deberán estar presentes en zona del PC Central (Arena) hasta 30 minutos después de realizada la premiación general y deberá estar a disposición de la organización si le es requerido.
- Requisito obligatorio para Team Elite
- Líder en Participación: Es el team o club más numeroso. Los puntajes se asignan de acuerdo al siguiente criterio:
Artículo 6 – Elementos obligatorios
- Dado que la organización no provee de vasos de un solo uso por motivos ambientales, el atleta deberá llevar su propio recipiente para hidratación.
Artículo 7 – Penalidades
- Ningún participante podrá ser acompañado bicicletas ni vehículo alguno. Tampoco podrá ser acompañado por una persona que específicamente tenga la función de asistencia del competidor. Si esto ocurriera será penalizado con la descalificación.
- Está permitida la asistencia entre competidores sin ninguna penalidad.
- Todos los participantes deberán cumplir con el recorrido que la Organización ha determinado. Aquel participante que no lo haga, será penalizado con la descalificación. Los competidores que no completen la distancia serán clasificados como DNF (Did Not Finish)
- Sólo estarán clasificados aquellos competidores que cubran el recorrido completo de la distancia en la que participan.
- Si algún competidor observa que otro está con problemas es obligatorio dar aviso a la Organización.
- Será descalificado todo participante que incurra en conductas antideportivas, que no respete las indicaciones del personal de la Organización y/o transgreda el presente reglamento.
- En caso de abandono el competidor tiene la obligación indelegable de avisar a la Organización. El aviso sólo se recepcionará en los Puestos de Asistencia, en la Largada o Meta. Los banderilleros o personal fuera de estos lugares no registrarán el aviso de abandono.
- Todo aquel que corra sin dorsal (número y chip) quedará descalificado, sin tener derecho a ninguna de las prerrogativas a las que tienen derecho los atletas oficialmente inscriptos.
- Los competidores deberán informar si están bajo tratamiento médico, presentar certificados y recetas e informar sobre cualquier sustancia que estuviesen ingiriendo. Dicha comunicación deberá hacerse efectiva al acreditarse.
Artículo 8 – Costos de inscripción
- El precio establecido es de:
- Sin remera: Gs. 130.000 (30 USD para atletas del extranjero)
- Con remera: Gs. 170.000 (35 USD para atletas del extranjero) - Sujeto a disponibilidad.
- Cada participante registrado recibirá:
- Acceso a la carrera.
- Remera técnica Aviru Trail® 2026 - Botánico.
- Número de corredor.
- Chip para control electrónico
- Snacks y bebidas en Puestos de Asistencia.
- Medalla Finisher para los que completen el recorrido.
Nota: En caso de no abonar el monto en los plazos de inscripción indicados, la Organización podrá anular la solicitud de pre-inscripción sin previo aviso. Haber completado la ficha de inscripción online no implica la confirmación de la plaza. La única manera de asegurar el cupo será mediante la cancelación del monto total de la inscripción, siempre sujeto a disponibilidad.
Artículo 9 - Apto Médico
La organización asume que el participante, al inscribirse a la competencia y firmar los términos de responsabilidad, es consciente de su condición física, declarando que se encuentra apto para realizarla completamente. Si el participante posee alguna dolencia crónica o ha tenido últimamente un evento que ha afectado su salud en forma severa, que le dificulte o impida realizar la competencia, no aconsejamos su participación, a no ser que presente – al momento de la acreditación - un certificado de aptitud física, suscripto por su médico de cabecera.
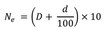
Artículo 10 - Clasificación
- Manteniendo el mismo criterio, el de la Federación Paraguaya de Atletismo (FPA), al ganador y ganadora de cada una de las carreras de la temporada se le asignan una serie de puntos obtenidos dependiendo de su clasificación general por género, distancia y altimetría de carrera, de la siguiente manera:

donde:
- Ne: Nivel-esfuerzo.
- D: Distancia oficial de carrera.
- d: Desnivel positivo acumulado para la distancia certificada D.
- La puntuación del atleta en cada competición será calculada de la siguiente manera:

donde:
- Ne: nivel-esfuerzo de acuerdo a 10.a
- Tg: Tiempo del ganador.
- Tc: Tiempo del corredor.
- Criterio de redondeo: AwayFromZero: La estrategia de redondeo al número más cercano y, cuando un número está a medio camino entre otros dos, se redondea hacia el número más cercano que está lejos de cero.
Ejemplo:
345,654 se redondea a 346
345,454 se redondea a 345
Artículo 10 – Premios
Están establecidos por género para la categoría General hasta el tercer puesto.
| Masculino (6k) | Femenino (6k) |
| Primer puesto: ₲ 1.500.000 Segundo puesto: ₲ 1.000.000 Tercer puesto: ₲ 750.000 |
Primer puesto: ₲ 1.500.000 Segundo puesto: ₲ 1.000.000 Tercer puesto: ₲ 750.000 |
Adicionalmente, se otorgarán premios por categoría de edad y género de acuerdo a la siguiente clasificación:
| Masculino (6k) | Femenino (6k) |
|
|
Importante: Los ganadores en la categoría general no participan de las premiaciones por categorías de edad.
Del mismo modo, se prevé ganadores de la temporada 2026 para las primeras cinco ubicaciones en la general para cada una de las distancias. Para esta clasificación se tendrá en cuenta la cantidad de puntos acumulados durante el año en curso. La clasificación estará disponible en www.avirutrail.com desde la primera fecha del evento.
Artículo 11 - Protección del medio ambiente
- La carrera se desarrollará por reservas naturales, territorios casi vírgenes y campos privados, que poseen un gran valor y riqueza en biodiversidad, por lo que su cuidado y del medio ambiente en general es obligatorio e imprescindible. Para ello, los corredores deberán evitar dejar residuos en su trayecto, debiendo utilizar en caso de ser necesario los contenedores para residuos ubicados en los puestos de abastecimiento. Conforme al reglamento, la penalización para el caso de incumplimiento de esta obligación, así como cualquier otra forma de destrucción del medio ambiente es la descalificación.
- La organización garantiza el retiro del 99% de las cintas de marcación en un periodo máximo de 15 (quince) días luego de finalizado el evento.
Artículo 12 - Reclamos
Los reclamos podrán ser realizados antes de los 30 Minutos de la publicación de los resultados, en forma verbal por el atleta al Director de Carrera o a quien la Organización designe para recibir las quejas. Será esta persona quien decida en primera instancia. De no estar de acuerdo el atleta, podrá reclamar al Jurado de Apelación (oficinas del organizador) inmediatamente, por nota, firmada y acompañada de Gs 880.000 (o 150 USD), suma que, no se devolverá si el reclamo no es en definitiva aceptado.
Artículo 13 - Resultados
Los resultados se publicarán en el sitio Web www.avirutrail.com o en los sitios Web suscriptos a Aviru Trail una vez finalizado el tiempo límite para todas las pruebas y habiendo constatado que ningún corredor se encuentra en zona de carrera.
Artículo 14 – Informes
Club Aviru Trail®
www.avirutrail.com
info@avirutrail.com